Thn 1 Kata Nama Am Kata Nama Khas Pdf
Latihan Kata Nama Khas Pdf

Kata Nama Khas Tahun 5 Mmaudit


Latihan Kata Nama Tahun 6

Kata Nama Am Dan Penjodoh Bilangan Worksheet
Latihan Kata Nama Khas Bukan Manusia Pdf
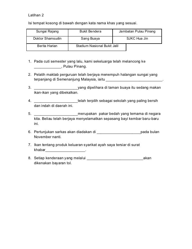
![]()
Fichas Interactivas De Rafireeriee
Bm 5 Latihan 4 Kata Nama Am Dan Khas Quiz Quizizz

Bahasa Melayu Pemahaman 1 Kata Nama Amketerangan Kata Nama Am Ialah Kata Yang Menamaka Chinese Language Learning Malay Language Grammar And Vocabulary

Latihan Kata Nama Tahun 5

Latihan Kata Ganti Nama Tunjuk Dan Tempat Artofit
Tags:
Archive